El movimiento del objeto se puede descomponer en dos, uno horizontal y otro vertical.
- Vertical: es un movimiento unifórmemente acelerado correspondiente a una "caida libre" desde la altura H.
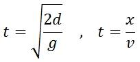
El tiempo que se tarda en caer es el mismo que se tarda en avanzar
En otras palabras, el tiempo que tarda el objeto para recorrer x es el mismo tiempo que tarda para llegar a y.
Alcance y tiempo de vuelo.

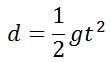
Nos dá la distancia d que "cae" un objeto que se suelta desde una altura transcurrido un tiempo t.
Nos dá la distancia que "avanza" un objeto que se desplaza con movimiento uniforme transcurrido un tiempo t.
Despejando t en ambas ecuaciones.

Igualando:
Obsérvese que cuando la distancia que se ha caido es H (d=H) , la distancia que se ha avanzado es R (x=R), entonces:

Ecuación nos dá el "alcance" R en función de la velocidad inicial y la altura desde donde cae lel objeto.
Para hallar el "tiempo de vuelo" (tv) o sea el tiempo que tarda el objeto entre el momento en que se lanza y el momento en que impacta el suelo acudimos a la componente horizontal del movimiento (movimiento rectilineo uniforme).
El tiempo, conocida la velocidad, viene dado por t=d/v (distancia recorrida sobre velocidad). Si la distancia recorrida es R (el alcance) entonecs el tiempo de vuelo tv está dado por:
Le colocamos a v el subindice x (vx) para indicar que se trata de la velocidad en el sentido del eje X.
Ecuación de la trayectoria semiparabólica.
Encontraremos la ecuación matemática que nos dé la ordenada y en función de la abcisa x para así poder determinar exáctamente por donde pasa el objeto. Esto puede ser útil si queremos saber si habrá impacto, o nó, con otro objeto.
Anteriormente habíamos llegado a la expresión:

Si analizamos la figura que encabeza esta página vemos que se cumple d=H-y. Entonces si reemplazamos d obtenemos:
que corresponde a la ecuación de una parábola de la forma:
De ahí el nombre de movimiento parabólico.